2023青岛大学考研调剂专业有哪些可选?公示信息名单
来源:考研招生网 编辑:liuhuimin 2023-03-15 14:23:17
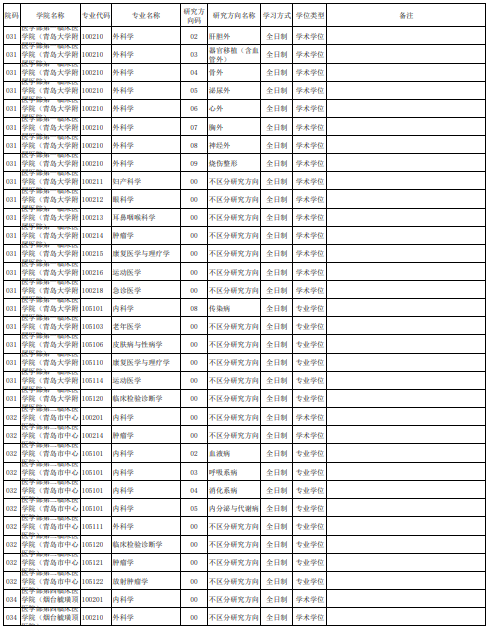
  青岛大学2023年硕士拟接收调剂专业统计表公示!其中显示,可以接收调剂的专业有日语口译、法语口译、管理科学与工程、汉语言文字学、汉语国际教育等,下面我们来看考研招生网的完整整理。
青岛大学2023年硕士拟接收调剂专业统计表
  青岛大学2023年硕士研究生招生预调剂通知
  根据2023年硕士研究生招生考试考生进入复试的初试成绩基本要求测算,我校部分专业预计接收调剂,最终接收调剂专业及具体缺额信息将在国家调剂服务系统上公布。有意向调剂我校的考生,请密切关注中国研究生招生信息网、青岛大学研究生招生信息网及各学院网站,也可通过各学院联系方式咨询相关调剂信息。
  青岛大学2023年硕士拟接收调剂专业统计表如下:






  附件1:青岛大学2023年硕士拟接收调剂专业统计表.pdf
  网址:https://grad.qdu.edu.cn/downloadTheolFile.do?id=DBCPDBDHDEDADICPLILNLMPODBKDLKMHOALFLKLEPDNBKHDCDADCDDMEOKMLLGMKLPMEOCLNNDMKNFLFPHLMMBNHKINCLFMNLDLMMGLBONCOHAGEGG
  附件2:各学院(学部)咨询联系方式.xlsx
  网址:https://grad.qdu.edu.cn/downloadTheolFile.do?id=DBCPDBDHDEDADGCPLILNLMPODCKDLKLIPHNBKHNELKKDKINBKHLCLPKDKJNHMJNBKPMBKKMPLFLHLNMKLNCOHIGMHDHI
  以上就是【2023青岛大学考研调剂专业有哪些可选?公示信息名单】的全部内容,如果想要深入了解各大院校复试信息、复试安排、调剂流程等一系列上岸信息,快进入考研招生网深度了解,小编已经整理好相关内容,直接搜索相关关键词即可,进一步提升你上岸的几率。
  (悄悄告诉大家点击下方图片可以免费获得考研招生网备考资料哦~)
延伸阅读
下一篇:2023年东北石油大学考研调剂专业有哪些?附联系方式
主页 > 考研调剂 > 调剂信息 > 正文

热点推荐

相关推荐

查看更多