渤海大学2023硕士研究生拟录取名单公示!点击查看
来源:考研招生网 编辑:liuhuimin 2023-04-20 13:53:30
  渤海大学2023年硕士研究生招生拟录取名单公示!截止至4月14日,渤海大学研招办官网已经公布考生拟录取名单,已考试的考生赶紧来查看,避免耽误时间,考研招生网已经整理详细信息,供参考!
渤海大学2023年硕士研究生拟录取名单公示
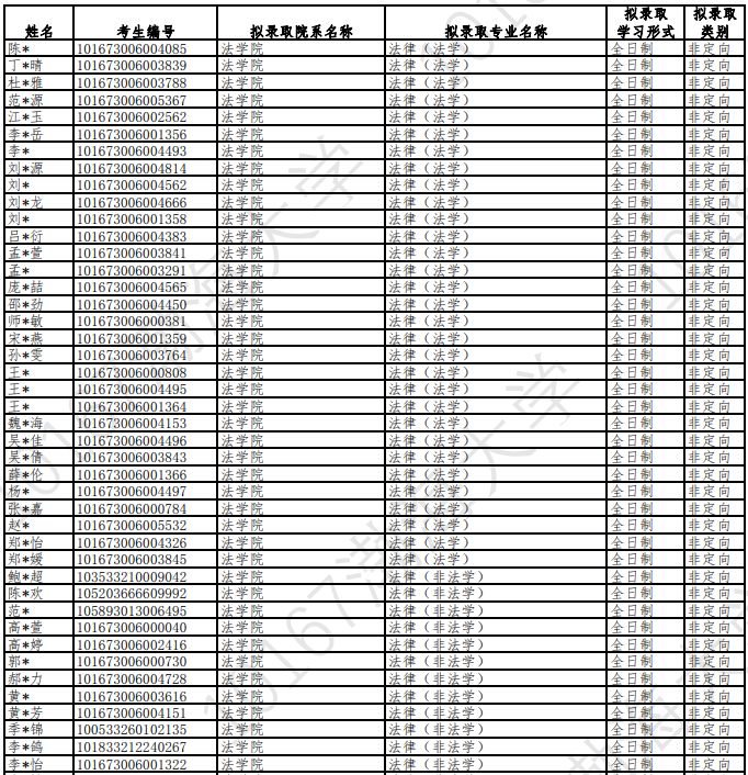
  渤海大学2023年硕士研究生招生拟录取名单公示
  仅展示部分,详情,可查询渤海大学研究生招生信息网。

  按照有关文件精神和工作要求,现将我校2023年硕士研究生招生拟录取名单予以公示,公示期为10个工作日。
  若对拟录取考生的录取资格有异议,请在公示期间实名以书面形式向学校纪委或研究生招生办公室反映。
  纪委电话:0416-3400027
  研招办电话:0416-3400137
  邮箱:bhyy qymail.bhu.edu.cn
  正式录取名单以上级主管部门审批为准。
  以上就是【渤海大学2023硕士研究生拟录取名单公示!点击查看】的全部内容,如果您还想了解各院校考研分数线、报考信息、复试信息、调剂信息、录取信息等一系列上岸信息,可进入考研招生网进行了解,本站已经提供好完整内容,搜索关键词即可,助您一路上岸。
  (考生们,福利来啦!悄悄点击下方图片即可免费获取万元价值的考研资料哦~)
相关阅读
延伸阅读
下一篇:2023厦门大学生物技术与工程考研拟录取名单公布!最高分362
主页 > 考研资讯 > 拟录取名单 > 正文

热点推荐

相关推荐

查看更多