
【真题展示】
2025考研数学(一)第5题

此题考查线性代数中二次型的正负惯性指数问题,考点单一,完全没有综合性,只要掌握了配方法化二次型为标准型即可解题。
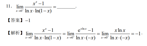
【真题展示】
2025考研数学(一)第11题

此题考查高等数学的极限计算问题,此类题是极限计算中极为常见的问题,只要掌握了幂指函数变形及等价无穷小替换即可轻松解题。
2、趋势二:冷门知识点依然存在,尤其是概率论部分
今年对于冷门知识点考查的比例开始变高,很多复习不够全面的同学可能会无处下手,甚至想不到考题考查的是哪个知识点,比如数学(一)和数学(三)第9题,考查的就是泊松定理,但是不少同学对这个知识点,完全没有印象,还有数学(一)第10题,区间估计和假设检验,近几年考的不多,很多同学也不够重视。数学(三)第10题,考查经验分布函数,这个知识点在考研历年考题中基本没有考查过,造成很多同学完全忽略了。
【真题展示】
2025考研数学(一)第9题

此题考查概率论与数理统计中的泊松定理问题,属于冷门考点,很多考生没有复习这个考点,难以解题。
【真题展示】
2025考研数学(三)第10题

此题考查概率论与数理统计中的经验分布函数问题,属于冷门考点,很多考生没有复习这个考点,难以解题。

咨询热线:400-600-8011
